首 页 >> 教育资讯 >>
2019年贵阳市高三一模各科答案汇总
发布于:2019-02-27


2019年贵阳市一模各科答案汇总

语文注重知识运用的生活化,加重了文言文的考查分量;

理科数学多考查数学思想,少考繁琐的计算;

文科数学则适度考查定量分析和定量计算,少考高深度的数学思想;

历史学科强调宽而广的、淡化专而精,主要考查考生对历史事件的简述和评述能力;

政治学科时政内容的考核权重加大,对学生人文素养的考查加重;

理综试题着重考查学生的逻辑思维、计算能力、实验创新能力。


贵阳市高三年级第一次适应性监测考试(简称“一模”)试题命制浓缩了高考高频热点、焦点问题,着重考查学生基本能力和对基础知识的把握。为让考生规范答题,本次评卷的标准略高于高考评卷标准。评卷时对考生仅罗列所运用到的公式不进一步解答的,或理综科答题时有错别字的一律不给分;理综考生没有运用学科术语表达的降低得分等。通过试卷分析发现,考生的规则意识不强,不按要求答题,甚至出现不涂答题卡的情况,希望学生规范答题,减少因非智力因素造成的失分。


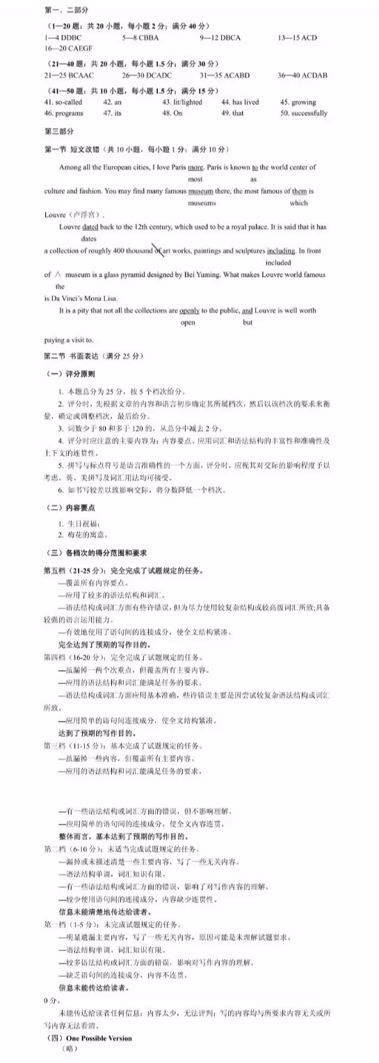
语文


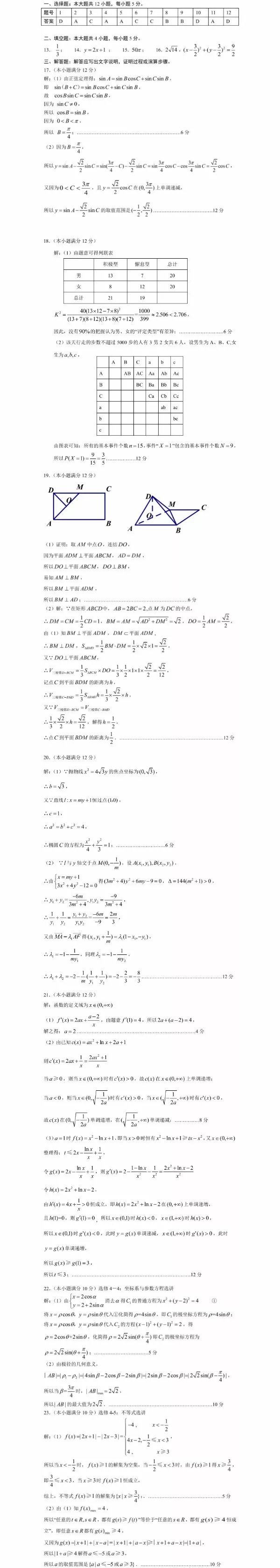
理科数学


文科数学


英语


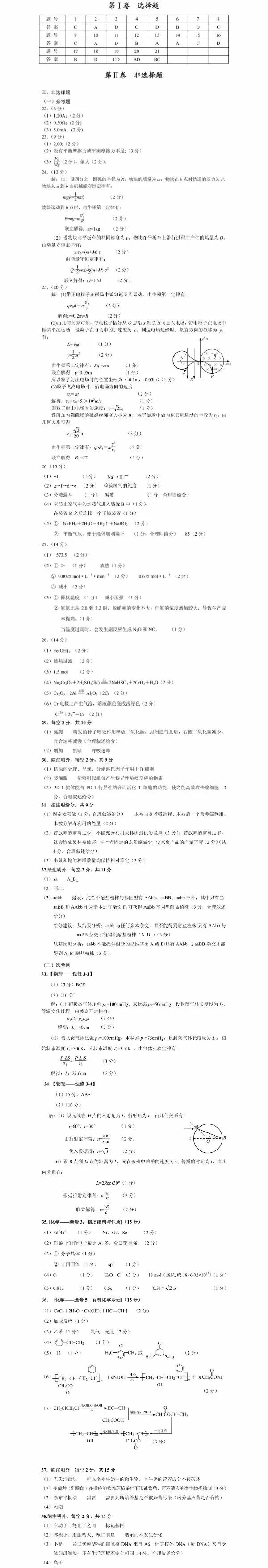
理科综合


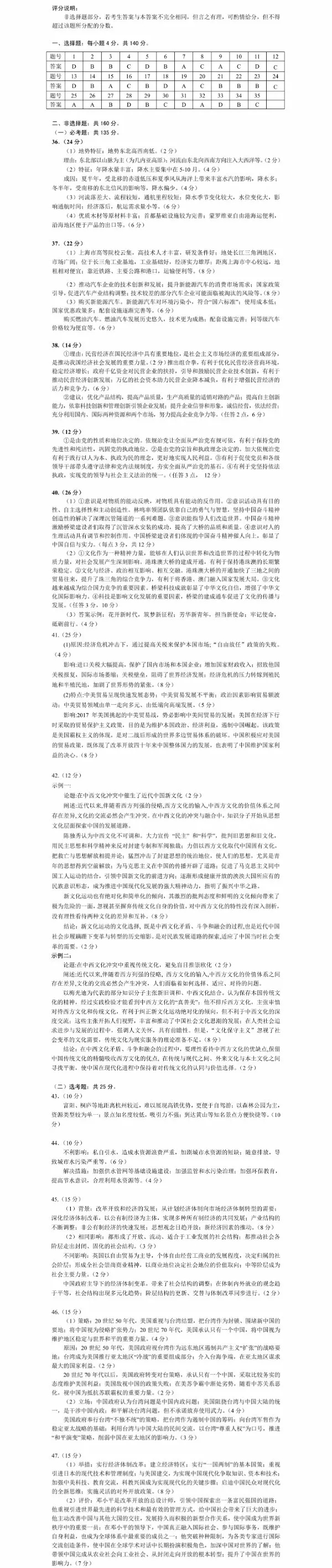
文科综合


2019年贵阳市云岩区勤渊培训学校5人高三学生全托新班正在接受报名

全学科辅导·全方位负责·横扫各科知识盲点!

用三句话概括。

一个特别能大幅度提分的学校,

一个把教学落实到每一节课的学校,

一个专注于中低分高考冲刺的学校。

打基础,改习惯,你的大幅度提分,就在贵阳市云岩区勤渊培训学校!

班型:  高三VIP5人精品小班   高三VIP白金 一对一

招生对象:高考复读生、高三应届生、艺考生等。

报名时间:即日起接受文理科学生报名。

贵阳市云岩区勤渊培训学校高考补习学校成立9年来,专注一件事情:高三文化课补习。

正是因为专注,贵阳市云岩区勤渊培训学校成绩斐然:2018年一本上线率80%!


在线客服

1

在线留言

手机微网

微信扫描关注

手机APP

扫描下载安卓APP

分享

搜索

返回顶部

×
网搜

直达
- - - 找到你,原来如此简单! - - -
×

您好,有需要了解的请咨询我们!

+ 0851-86889017

×

请输入电话,即刻联系您!
看不清,点击换图片

该通话对您免费,请放心接听!

×